Essays.club - Получите бесплатные рефераты, курсовые работы и научные статьи
Поиск

Исследование социальной ответственности аптечного бизнеса

Автор:   •  Ноябрь 21, 2022  •  Курсовая работа  •  4,171 Слов (17 Страниц)  •  396 Просмотры

Страница 1 из 17

ИССЛЕДОВАНИЕ СОЦИАЛЬНОЙ ОТВЕТСТВЕННОСТИ АПТЕЧНОГО БИЗНЕСА

ОГЛАВЛЕНИЕ

ВВЕДЕНИЕ        3

ГЛАВА 1. ОБЩАЯ ХАРАКТЕРИСТИКА СОЦИАЛЬНОЙ ОТВЕТСТВЕННОСТИ АПТЕЧНОГО БИЗНЕСА        5

1.1. Общая информация        5

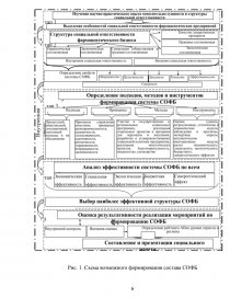
1.2. Формирование структур СОФБ        6

1.3. Составляющие СОФБ        9

ГЛАВА 2. АНАЛИЗ ИССЛЕДОВАНИЯ СОЦИАЛЬНОЙ ОТВЕТСВЕННОСТИ АПТЕЧНОГО БИЗНЕСА        15

2.1. Концепция исследования        15

2.2. Исследование уровня формирования понятия «Социальная ответственность» у будущих фармацевтов        16

2.3. Анализ роли социальной ответственности работников аптечной организации в формировании ее положительного образа.        22

2.4. Сравнительная характеристика уровня ожиданий выпускников и реальные показатели социальной ответственности белгородских аптечных предприятий        28

ЗАКЛЮЧЕНИЕ        31

СПИСОК ИСПОЛЬЗОВАННЫХ ИСТОЧНИКОВ И ЛИТЕРАТУРЫ        34

ПРИЛОЖЕНИЯ        36


ВВЕДЕНИЕ

Актуальность темы. Любая аптечная организация во главу угла ставит прежде всего получение прибыли. Однако, являясь объектом не только бизнеса, но и частью социальной жизни общества такой организации требуется особый подход в управлении.

Невозможно отделить две грани деятельности работников и руководителей аптеки, так как целью ее функционирования является реализация лекарственных препаратов и других товаров аптечного ассортимента для профилактики и лечения заболеваний у населения.

Каждая аптека или аптечная сеть в процессе своей деятельности должна разрабатывать концепцию социально-ориентированного бизнеса, в рамках которой учитываются интересы собственников, персонала, партнеров по бизнесу и конечных потребителей.    

В последние годы в нашей стране большое значение уделяются качеству жизни российских граждан, и это не только повышение уровня заработной платы, уровня условий труда и многое другое, но и, в первую очередь качества здравоохранения и профилактики заболеваний.  

В связи с этим большое внимание уделяется социальной ответственности фармацевтического бизнеса. Фармацевтическая продукция является высоко ценной в социальном значении. Аптечный предприятия все больше в своей работе уделяют таким понятиям как корпоративная культура, прозрачность своей деятельности на всех уровнях, усиление эффективности качества системы менеджмента.

Целью нашей работы является исследование социальной ответственности аптечного бизнеса.

Для того, чтобы достичь цели, нами были поставлены несколько задач:

1. дать общую характеристику социальной ответственности аптечного бизнеса;

2. провести исследование уровня формирования понятия «Социальная ответственность» у будущих фармацевтов;

3. сделать анализ роли социальной ответственности работников аптечной организации в формировании ее положительного образа;

4. сравнить уровни ожиданий выпускников и реальные показатели социальной ответственности белгородских аптечных предприятий.

Объект исследования – методы социально ориентированного менеджмента в аптеке.

 Предметом исследования стало влияние социально ориентированного менеджмента на формирование положительного образа аптечной организации в городе Белгороде.

Методы исследования:

1. Структурный;

2. Графический;

3. Сегментационный;

4. Аналитический.

Практическая значимость нашей работы заключается в определении роли социальной ответственности фармацевтических работников на формирование устойчивой лояльности потребителей аптечных товаров и услуг.


ГЛАВА 1. ОБЩАЯ ХАРАКТЕРИСТИКА СОЦИАЛЬНОЙ ОТВЕТСТВЕННОСТИ АПТЕЧНОГО БИЗНЕСА

1.1. Общая информация

Информационной базой проведения исследования стали труды ведущих отечественных и зарубежных ученых по вопросам формирования системы СОФБ; нормативно-правовая база России; комплекс Международных стандартов; официальные статистические данные Государственного комитета статистики России; информация, собранная непосредственно в аптечных учреждениях; периодические научные издания; ресурсы Интернет.

...

Скачать:   txt (59.5 Kb)   pdf (1.1 Mb)   docx (1.1 Mb)  
Продолжить читать еще 16 страниц(ы) »
Доступно только на Essays.club