Essays.club - Получите бесплатные рефераты, курсовые работы и научные статьи
Поиск

Фискальная политика и проблемы ее реализации в открытой экономике

Автор:   •  Июль 4, 2021  •  Курсовая работа  •  9,887 Слов (40 Страниц)  •  828 Просмотры

Страница 1 из 40

МИНИСТЕРСТВО ОБРАЗОВАНИЯ РЕСПУБЛИКИ БЕЛАРУСЬ

УО «БЕЛОРУССКИЙ ГОСУДАРСТВЕННЫЙ ЭКОНОМИЧЕСКИЙ УНИВЕРСИТЕТ»

Кафедра экономической политики

КУРСОВАЯ РАБОТА

по дисциплине: Макроэкономика 

на тему: Фискальная политика и проблемы ее реализации в

              открытой экономике

Студент

факультет, курс, группа                    (подпись)                                  Ф.И.О.

                                                                                             (дата)

Руководитель                                        (подпись)                                   Ф.И.О.

                                                       (дата)

МИНСК 2021

РЕФЕРАТ

Курсовая работа: 35 с., 8 рис., 2 табл., 30 источников, 2 прил.

ФИСКАЛЬНАЯ ПОЛИТИКА, БЮДЖЕТНАЯ ПОЛИТИКА, НАЛОГОВАЯ ПОЛИТИКА, ГОСУДАРСТВЕННЫЙ БЮДЖЕТ, НАЛОГОВАЯ СИСТЕМА, ГОСУДАРСТВЕННОЕ РЕГУЛИРОВАНИЕ

Объект исследования – фискальная политика государства.

Предмет исследования – проблемы реализации фискальной политики в открытой экономике.

Цель исследования – на основе анализа фискальной политики в Республике Беларусь за последние пять лет (2015-2019 гг.) выявить ее перспективные направления.

Методы исследования: формально-логические методы исследования (определение, классификация, анализ, сравнение, выводы).

Исследования и разработки: определены содержание, цели и инструменты фискальной политики государства; изучен механизм реализации фискальной политики в открытой экономике; проанализирована фискальная политика Республики Беларусь; выявлены перспективные мероприятия фискальной политики Республики Беларусь.

Элементы научной новизны: выявлены направления совершенствования фискальной политики в Республике Беларусь.

Область возможного практического применения: результаты полученные в курсовой работе могут быть использованы при изучении курса «макроэкономика».

_________________

(подпись студента)

THE ABSTRACT

Course work: 35 p., 8 p., 2 t., 30 source

FISCAL POLICY, BUDGET POLICY, TAX POLICY, STATE BUDGET, TAX SYSTEM, STATE REGULATION

Object of research – fiscal policy of the state.

Subject of research – the problems of implementing fiscal policy in an open economy.

Purpose of research: based on the analysis of the fiscal policy in the Republic of Belarus over the past five years (2015-2019), to identify its promising areas.

Research methods: formal-logical methods of research (definition, classification, analysis, comparison, conclusions).

Research and development: the content, goals and tools of the state's fiscal policy are defined; the mechanism for implementing fiscal policy in an open economy is studied; the fiscal policy of the Republic of Belarus is analyzed; promising measures of the fiscal policy of the Republic of Belarus are identified.

Elements of scientific novelty: identified areas of improvement the fiscal policy of the Republic of Belarus.

The scope of possible practical application: the results obtained in the course work can be used in the course «macroeconomics».

_________________

(signature of student)

СОДЕРЖАНИЕ

Введение……………………………………………………………………….…...3

1 Теоретические положения фискальной политики государства.....……….…..4

1.1 Содержание фискальной политики государства, ее цели и инструменты....4

1.2 Механизмы фискальной политики государства в открытой экономике…....5

2 Фискальная политика Республики Беларусь……………………………….....10

2.1 Фискальная политика, ее цели и проблемы реализации……………..…….10

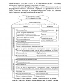
2.2 Организационно-экономические механизмы и правовые основы применения фискальной политики в республике………………………………12

2.3 Экономическая эффективность фискальной политики республики..……..14

3 Перспективные мероприятия фискальной политики Республики Беларусь…………………………………………………………………………...23

3.1 Мероприятия, предусмотренные программными документами: цели и обоснование экономической эффективности…………………………….…….23

3.2 Обоснование необходимости актуализации отдельных направлений фискальной политики республики: экономический эффект и проблемы выполнения………………………………………………………………….……26

3.3 Экономическая целесообразность применения зарубежных подходов, механизмов и инструментов в фискальной политике республики…………....28

Заключение………………………………………………………………………..31

Список использованных источников…………………………………………....33

Приложение А Динамика налоговой нагрузки на экономику Республики Беларусь в 2013-2019 годах……………………………………………………...36

Приложение Б Структура налоговых доходов Республики Беларусь в 2013-2019 годах……………………………………………………………………...….37

...

Скачать:   txt (138.1 Kb)   pdf (577.9 Kb)   docx (723.1 Kb)  
Продолжить читать еще 39 страниц(ы) »
Доступно только на Essays.club