Essays.club - Получите бесплатные рефераты, курсовые работы и научные статьи
Поиск

Прогнозирование биржевой торговли драгоценными металлами с помощью эконометрических методов

Автор:   •  Сентябрь 5, 2018  •  Курсовая работа  •  3,804 Слов (16 Страниц)  •  673 Просмотры

Страница 1 из 16

МИНИСТЕРСТВО ОБРАЗОВАНИЯ РЕСПУБЛИКИ БЕЛАРУСЬ

УО «БЕЛОРУССКИЙ ГОСУДАРСТВЕННЫЙ ЭКОНОМИЧЕСКИЙ УНИВЕРСИТЕТ»

Кафедра математических методов в экономике

КУРСОВАЯ РАБОТА

по дисциплине: Эконометрика

на тему: Прогнозирование биржевой торговли драгоценными металлами с помощью эконометрических методов

Студент

Руководитель

 канд. физ.-мат.наук,        

доцент        

МИНСК 2017

РЕФЕРАТ

Курсовая работа: 23 c.,7 рис., 1 табл., 15 источников

Объект исследования – операции с драгоценными металлами в Республике Беларусь.

Предмет исследования система взаимоотношений при осуществлении учета и анализа операций с драгоценными камнями в Республике Беларусь.

Цель работы – построить модель, которая наилучшим образом будет описывать изменения цены драгоценного металла, а также выполнить по ней прогноз.

Методы исследования – экономические, статистические и эконометрические методы изучения, обработки и обобщения информации.

Практическая значимость – разработка прогноза цены драгоценного металла на предстоящий период.

Автор работы подтверждает, что приведенный в ней расчётно-аналитический материал правильно и объективно отражает состояние исследуемого процесса, а все заимствованные из литературных и других источников теоретические, методологические и методические положения и концепции сопровождаются ссылками на их авторов.


СОДЕРЖАНИЕ

ВВЕДЕНИЕ        4

1. Понятие о стационарном и нестационарном временном ряде        5

2.Уравнения авторегрессии и авторегрессии со скользящим средним        7

2.1Специфика уравнений авторегререссии AR(p)        7

2.2 Специфика уравнений авторегрессии со скользящим средним ARMA

        9

3. Интерпретация критериев, характеризующих уровень точности статистической модели.        10

4. Прогнозирование цены на золото на Белорусской валютно-фондовой бирже        13

ЗАКЛЮЧЕНИЕ        19

СПИСОК ИСПОЛЬЗОВАНЫХ ИСТОЧНИКОВ        20

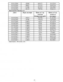
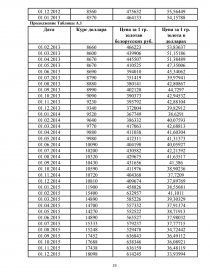
ПРИЛОЖЕНИЕ А        21


ВВЕДЕНИЕ

В последнее время наметилась мировая тенденция по усилению роли драгоценных металлов как относительно надежного средства накопления, рост их добычи и потребления внутри страны позволяют прогнозировать усиление интереса к данному направлению финансовой деятельности.

В самом различном виде и состоянии драгоценные металлы, равно как и изделия из них, выступают в качестве составной части золотовалютного запаса любого государства, используемого им до настоящего времени и на отдаленную перспективу как резерв при международных расчетах и одно из средств обеспечения устойчивости валют.

Драгоценные металлы приобретается не только с целью потребления, но и с целью сбережения и инвестирования средств или формирования золотых резервов для снижения рисков.

Работа включает в себя четыре главы. В первой главе дается краткое описание стационарных и нестационарных временных рядов. Во второй главе рассматриваются уравнения авторегрессии и уравнения авторегрессии со скользящим средним. В третьей главе рассматриваются показатели на основе которых делаются выводы о свойствах прогностической модели. В четвертой главе рассчитываются прогнозные цены на драгоценные металлы за 1 гр.

...

Скачать:   txt (54.4 Kb)   pdf (1.2 Mb)   docx (218.1 Kb)  
Продолжить читать еще 15 страниц(ы) »
Доступно только на Essays.club