Essays.club - Получите бесплатные рефераты, курсовые работы и научные статьи
Поиск

Оценка инвестиций при лизинговой форме финансирования

Автор:   •  Июнь 23, 2019  •  Курсовая работа  •  2,452 Слов (10 Страниц)  •  528 Просмотры

Страница 1 из 10

МОСКОВСКИЙ АВТОМОБИЛЬНО-ДОРОЖНЫЙ ГОСУДАРСТВЕННЫЙ ТЕХНИЧЕСКИЙ УНИВЕРСИТЕТ[pic 1]

(МАДИ)

КАФЕДРА ЭКОНОМИКИ НА АВТОМОБИЛЬНОМ ТРАНСПОРТЕ

Курсовой проект по дисциплине: ЭКОНОМИЧЕСКАЯ ОЦЕНКА ИНВЕСТИЦИЙ

Вариант 18

Выполнил студент: Андроник В. Е.

Группа: 4бЭТ2 Преподаватель: Улицкая Н. М.

МОСКВА 2016


Оглавление

Раздел 2.  Оценка инвестиций при лизинговой форме финансирования        3

  1. Расчёт среднегодовых стоимостей объекта лизинга        3
  2. Определение значений лизинговых платежей и их структуры        4
  3. Определение цены лизингового капитала        7
  4. Формирование схемы денежных потоков при лизинговой форме инвестирования        7

Раздел 3. Оценка инвестиций при кредитной форме финансирования        9

  1. Расчёт показателей при кредитной форме инвестирования        9
  2. Определение цены кредитного капитала        12
  3. Расчёт сумм чистой дополнительной прибыли        12
  4. Формирование схемы денежных потоков при кредитной форме кредитования        13

Раздел 4. Определение значений показателей эффективности альтернативных форм инвестирования 14

  1. Определение значений коммерческого эффекта для лизинговой формы        14
  2. Определение значений коммерческого эффекта для кредитной формы        15


Раздел 2. Оценка инвестиций при лизинговой форме финансирования

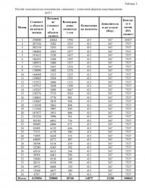
Целью второго раздела является закрепление знаний по формам финансирования инвестиций, полученных в лекционном курсе и вследствие самостоятельной работы с учебной литературой на примере лизинговой формы финансирования. Индивидуальные исходные данные представлены в табл. 1.

Исходные данные


Таблица 1.

Объект лизинга

Экскаватор ЭО-3323А

Срок кредита и лизинга

3 года

Цена (с НДС), тыс. руб. (Ц)

250

Полезная продолжительность работы (Т)

7 лет

Норма амортизации (На)

14,289%

Кредитная ставка (Ск)

27%

Лизинговый процент

9%

Первоначальный взнос по лизингу

15%

Ставка комиссионных выплат (Скв)

7%

Годовая плата за дополнительные услуги, тыс. руб. (Пду)

4,4

  1. Расчёт среднегодовых стоимостей объекта лизинга

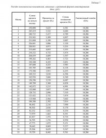
На данном этапе производится расчёт среднегодовых (остаточных) стоимостей объекта лизинга при линейном способе начисления амортизации. При лизинге используется ускоренная линейная амортизация, коэффициент – 3. Результаты расчётов представлены в табл. 2.

Цена (без НДС) = 250000  = 211864 руб.[pic 2]

1,18

Таблица 2.

Годы

Стоимость имущества на начало года (Снг), руб.

Сумма годовых амортизационных отчислений (АО), руб.

Стоимость имущества на конец года (Скг), руб.

Среднегодовая стоимость имущества (Ссг), руб.

1

2

3

4

5

1

211864

90801,00

121063,00

166463,50

2

121063,00

90801,00

30262,00

75662,50

3

30262,00

30262,00

0,00

15131,00

Итого:

211864,00


АО = Снг ∗ На ∗ koef;        Скгi  =  Снгi  − АО;        Ссгi  =[pic 3]

АОл        = 250000 ∗ 0,14286 ∗ 3 = 90801 руб.[pic 4]

Снг1  = Ц = 250000 руб. ;

...

Скачать:   txt (31.4 Kb)   pdf (510.5 Kb)   docx (695.8 Kb)  
Продолжить читать еще 9 страниц(ы) »
Доступно только на Essays.club