Essays.club - Получите бесплатные рефераты, курсовые работы и научные статьи
Поиск

Строительство мусороперерабатывающего предприятия

Автор:   •  Май 16, 2018  •  Практическая работа  •  885 Слов (4 Страниц)  •  863 Просмотры

Страница 1 из 4

ФЕДЕРАЛЬНОЕ ГОСУДАРСТВЕННОЕ БЮДЖЕТНОЕ ОБРАЗОВАТЕЛЬНОЕ УЧРЕЖДЕНИЕ

ВЫСШЕГО ОБРАЗОВАНИЯ

«НОВОСИБИРСКИЙ ГОСУДАРСТВЕННЫЙ ТЕХНИЧЕСКИЙ УНИВЕРСИТЕТ»

ФАКУЛЬТЕТ БИЗНЕСА

КАФЕДРА ПРОИЗВОДСТВЕННОГО МЕНЕДЖМЕНТА И ЭКОНОМИКИ ЭНЕРГЕТИКИ

РАСЧЁТНО-ГРАФИЧЕСКАЯ РАБОТА ПО ДИСЦИПЛИНЕ

«УПРАВЛЕНИЕ ПРОЕКТАМИ»

ПРОЕКТ: «СТРОИТЕЛЬСТВО МУСОРОПЕРЕРАБАТЫВАЮЩЕГО ПРЕДПРИЯТИЯ»

Выполнили:

Студенты:

Группа:

________________________        

       (подпись)

«___» апреля 2018 г.

Проверил:

Преподаватель:

Балл: __________,

Оценка: ___________________________

___________________________________

                              (подпись)        

«___» апреля 2018 г.

Новосибирск, 2018 г.


СОДЕРЖАНИЕ

1.ОБЩАЯ ХАРАКТЕРИСТИКА ПРОЕКТА        3

1.1 Необходимость реализации проекта для инициатора        3

1.2 Классификация проекта        4

1.3 Цели реализации проекта        5

1.4 Результат проекта        5

1.5 Стейкхолдеры проекта и их интересы        5

2. ПЛАНИРОВАНИЕ ПРОЕКТА        5

2.1 Риски реализации проекта и мероприятия по их смягчению        5

2.2 Сетевой график        6

3. ФИНАНСОВЫЙ ПЛАН        6


1.ОБЩАЯ ХАРАКТЕРИСТИКА ПРОЕКТА

1.1 Необходимость реализации проекта для инициатора

В РФ проблемы с твердыми бытовыми отходами решается крайне незатейливо – их вывозят на мусорные полигоны, находящиеся зачастую в опасной близости к населенным пунктам. Большинство полигонов отходов уже давно не соответствует никаким санитарно-эпидемиологическим требованиям. Почти все они превратились в экологически опасные объекты, поскольку горы мусора выделяют угарный газ, метан и другие вредные для живых организмов соединения. По данным Госсанэпиднадзора, из действующих полигонов Новосибирской области половина уже исчерпала лимит вместимости, а другая половина близка к этому.

Актуальность темы проектной работы обусловлена тем, ежегодно в Новосибирске образуется около 3,5 млн. кубометров твердых бытовых отходов и возможно уже сейчас принятие каких-либо мер по утилизации ТБО может оказаться достаточно запоздалым, однако если не делать совсем ничего, то ситуация может резко усугубиться, а примером этому могут послужить сложившаяся ситуация с полигонами для ТБО в Московской области.

В развитых странах мусороперерабатывающая промышленность является высокоприбыльным видом бизнеса, а в России переработка отходов, по подсчетам различных компаний, может приносить от 2 до 3,5 миллиардов долларов США в год.

Преимущества проекта:

  • обеспечение 100% охватом населения планово-регулярным сбором и вывозом бытовых отходов;
  • привлечение инвесторов для строительства и эксплуатации
    комплекса;
  • возможность создания на территории области современных мусороперерабатывающих предприятий.

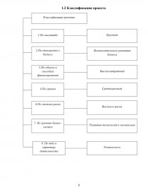
1.2 Классификация проекта[pic 1]


1.3 Цели реализации проекта

  1. Организовать экологическую и высокотехнологичную переработку ТБО с возможностью вторичного использования.
  2. Обеспечить годовой объем переработки ТБО в объеме 800
    тыс. м3.
  3. Сформировать новую отрасль экономики Новосибирской области – отходопереработка.

1.4 Результат проекта

Результатом проекта будет являться созданное предприятие, обладающее перспективами высокой доходности и признаком общественной полезности.

1.5 Стейкхолдеры проекта и их интересы

К стейкхолдерам организации относятся поставщики материалов и технологий.

Одним из основных поставщиков мусороуборочной техники и бункеров-накопителей для ТБО будет ООО «Евразийская Машиностроительная Группа».

Основным поставщиком мусороперерабатывающего оборудования будет являться ООО «Мировое оборудование», компания предоставляет полный спектр необходимого оборудования (дробилки, мойки, сушилки, резаки и т. п.).

...

Скачать:   txt (11.2 Kb)   pdf (180 Kb)   docx (26.9 Kb)  
Продолжить читать еще 3 страниц(ы) »
Доступно только на Essays.club