Essays.club - Получите бесплатные рефераты, курсовые работы и научные статьи
Поиск

Проектирование ОКС №7 на ГТС с УВС

Автор:   •  Ноябрь 12, 2022  •  Курсовая работа  •  3,451 Слов (14 Страниц)  •  369 Просмотры

Страница 1 из 14

СОДЕРЖАНИЕ

ВВЕДЕНИЕ        4

1 РАЗРАБОТКА СТРУКТУРЫ СИГНАЛЬНОЙ СЕТИ ОКС        5

1.1 Общие требования и исходные данные        5

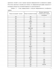
1.2 Схема маршрутизации информационного (телефонного) трафика вторичных сетей        6

1.3 Разработка структуры сигнальной сети ОКС        8

2 РАСЧЕТ СИГНАЛЬНОЙ НАГРУЗКИ НА ЗВЕНЬЯ        11

3 РАСЧЕТ КОЛИЧЕСТВА СИГНАЛЬНЫХ ЗВЕНЬЕВ. ПОСТРОЕНИЕ ТАБЛИЦ МАРШРУТИЗАЦИИ        14

3.1 Проектирование нормальных маршрутов для сигнальной сети        14

3.2 Проектирование резервных маршрутов для нормальных пучков (звеньев)        17

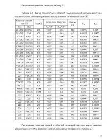
3.3 Расчет сигнальной нагрузки и количества звеньев в пучке        27

3.4 Таблицы маршрутизации для пунктов сигнализации        29

СПИСОК ИСПОЛЬЗОВАННЫХ ИСТОЧНИКОВ        35

ПРИЛОЖЕНИЕ А        36


ВВЕДЕНИЕ

Развитие систем сигнализации обусловливалось необходимостью повышения их надежности, снижения объема и стоимости аппаратуры сигнализации, увеличения количества передаваемых сигналов и скорости их передачи, обеспечения возможности передачи данных непосредственно от абонентских установок. Оптимальной для использования в современных сетях связи является система общеканальной сигнализации № 7 (ОКС 7), пришедшая на смену системе ОКС 6, которая при явном преимуществе перед системами сигнализации, разработанными ранее, имела ряд существенных недостатков.

Система сигнализации № 7 (ОКС № 7) представляет собой многофункциональный протокол управления доставкой сообщений переменной длины в сети передачи данных с коммутацией пакетов. Этот протокол первоначально предназначался для управления доставкой сигнальных сообщений пользователей телефонной сети по общему каналу. В дальнейшем функции протокола общеканальной системы сигнализации № 7 расширялись вследствие интеграции множества служб в одной телекоммуникационной сети (ISDN). В настоящее время ОКС № 7 поддерживает обмен не только сигнальными сообщениями с целью предоставления услуг в сети с коммутацией каналов, но и обмен пользователей, имеющих оконечное оборудование пакетного типа, обмен объектов интеллектуальной сети, элементов системы централизованной эксплуатации и технического обслуживания, элементов системы управления телекоммуникационной сетью (TMN - Telecommunication Management Network).

В данной курсовой работе представлено проектирование ОКС №7 на ГТС с УВС. В результате расчета должна быть определена структура сети сигнализации. Поэтому должны быть определены основные элементы этой сети. К таким элементам относятся: - перечень пунктов сигнализации (SP) и транзитных пунктов сигнализации (STP); - расчет взаимной нагрузки между пунктами сигнализации; - определение числа звеньев сигнализации между пунктами сигнализации по результатам расчета; - обеспечение заданной надежности сети OKC путем назначения резервных звеньев и маршрутов OKC; - определение структуры сети OKC путем назначения маршрутов сигнализации между пунктами сигнализации; - разработка таблиц маршрутизации в каждом транзитном пункте сигнализации. При необходимости с целью оптимизации сети сигнализации, например, по эффективной нагрузке на звено или по задержке распространения, устанавливается приоритет маршрутов в списке допустимых, который позволяет при проектировании методом итераций изменять структуру сети путем исключения неэффективных звеньев или маршрутов из списка допустимых, включаемых в таблицу маршрутизации.

1 РАЗРАБОТКА СТРУКТУРЫ СИГНАЛЬНОЙ СЕТИ ОКС

1.1 Общие требования и исходные данные

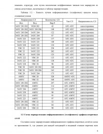
Перечень станций и узлов представлены в таблице 1.1.

Таблица 1.1 – Перечень станций и узлов

Индекс станции/узла

Наименование

Тип станции/узла

282

УКМ 282

УКМ

281

АТСЭ 281/282

АТС

285

АТСЭ 285/286

АТС

Y284

АТСЭ 28/284

АТС (УВС)

Y221

АТСЭ 22/221

АТС (УВС)

222

АТСЭ 222

АТС

228

АТСЭ 228

АТС

АМТС

АМТС

АМТС

Емкость пучков информационных (телефонных) каналов между станциями/узлами указана в таблице 1.2. В результате расчета должна быть определена структура сети сигнализации, поэтому определим основные элементы этой сети. К таким элементам относятся:

...

Скачать:   txt (70.2 Kb)   pdf (391.3 Kb)   docx (704.6 Kb)  
Продолжить читать еще 13 страниц(ы) »
Доступно только на Essays.club