Essays.club - Получите бесплатные рефераты, курсовые работы и научные статьи
Поиск

Определение избыточности сообщения

Автор:   •  Октябрь 16, 2022  •  Лабораторная работа  •  3,155 Слов (13 Страниц)  •  632 Просмотры

Страница 1 из 13

МИНИСТЕРСТВО НАУКИ И ВЫСШЕГО ОБРАЗОВАНИЯ РОССИЙСКОЙ ФЕДЕРАЦИИ

федеральное государственное бюджетное образовательное учреждение

высшего образования

«Сибирский государственный университет науки и технологий

имени академика М. Ф. Решетнева»

Кафедра информационно-управляющих систем.

Отчет по лабораторной работе №3.

По дисциплине: «Теория информации»

Тема: «Определение избыточности сообщения»

Руководитель:                                                                                                                                                       С.В. Котельникова

                                                                                                                                                    инициалы, фамилия

Обучающийся: гр.БИС19-01                                               Р.А. Ярчинский

                     номер группы                                                                   инициалы, фамилия

Красноярск 2022

Цель работы:

Закрепить знания по методам кодирования информации.

Задание№1

Используя заданный текст определить:

- Избыточность заданного текста, вызванную неравновероятностью появления символов в сообщении;

- Избыточность, вызванную статистической связью между соседними символами;

- Полную избыточность.

Решение:

Считаем избыточность заданного текста, вызванную неравновероятностью появления символов в сообщении.

        [pic 1]        [pic 2]

        Где H(x) =4,36; H(x)max = = 5  при m =32. H(x) - энтропия алфавита, рассчитанная в 1 лабораторной.[pic 3]

        Dp = 1 – (4,36/5) = 1-0,872 = 0,128

Считаем избыточность, вызванную статистической связью между соседними символами.

[pic 4]

[pic 5]   [pic 6]

Где H(x) = 4,36; H(Y/X) = 3,38. H(x) - энтропия алфавита, рассчитанная в 1 лабораторной. H(Y/X) - полной энтропии системы, рассчитанная в 2 лабораторной

         

Ds = 1 – (3,38/4,36) = 1- 0,775 = 0,225

Считаем полную избыточность.

[pic 7]

        D = 0,225+ 0,128– 0,225*0,128 = 0.353 – 0.0288 = 0.3242


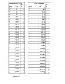
2. Используя заданный текст построить оптимальный неравномерный код, применяя:

- Метод Шеннона-Фано;

- Метод Хаффмана.

Метод Шеннона-Фано

Пробел

0,175

1

1

1

о

0,090

1

1

0

е

0,072

1

0

1

1

а

0,062

1

0

1

0

и

0,062

1

0

0

1

н

0,053

1

0

0

0

т

0,053

0

1

1

1

с

0,045

0

1

1

0

1

р

0,040

0

1

1

0

0

в

0,038

0

1

0

1

1

л

0,035

0

1

0

1

0

к

0,028

0

1

0

0

1

м

0,026

0

1

0

0

0

д

0,025

0

0

1

1

1

п

0,023

0

0

1

1

0

у

0,021

0

0

1

0

1

1

я

0,018

0

0

1

0

1

0

ы

0,016

0

0

1

0

0

1

з

0,016

0

0

1

0

0

0

ъ

0,014

0

0

0

1

1

1

б

0,014

0

0

0

1

1

0

г

0,013

0

0

0

1

0

1

ч

0,012

0

0

0

1

0

0

1

й

0,010

0

0

0

1

0

0

0

х

0,009

0

0

0

0

1

1

1

ж

0,007

0

0

0

0

1

1

0

ю

0,006

0

0

0

0

1

0

1

ш

0,006

0

0

0

0

1

0

0

ц

0,004

0

0

0

0

0

1

1

щ

0,003

0

0

0

0

0

1

0

э

0,003

0

0

0

0

0

0

1

ф

0,001

0

0

0

0

0

0

0

...

Скачать:   txt (108.6 Kb)   pdf (437.2 Kb)   docx (809.5 Kb)  
Продолжить читать еще 12 страниц(ы) »
Доступно только на Essays.club