Essays.club - Получите бесплатные рефераты, курсовые работы и научные статьи
Поиск

Теории цикличности и их применение к развитию экономики РФ

Автор:   •  Декабрь 3, 2022  •  Курсовая работа  •  4,095 Слов (17 Страниц)  •  368 Просмотры

Страница 1 из 17

Тема Теории цикличности и их применение к развитию экономики РФ

СОДЕРЖАНИЕ

ВВЕДЕНИЕ        3

1.ТЕОРЕТИЧЕСКИЕ ОСНОВЫ ЭКОНОМИЧЕСКИХ ЦИКЛОВ        5

1.1 Понятие и сущность экономического цикла и их значение для экономической политики        5

1.3 Классификация экономических циклов        8

1.3 Методика анализа экономических циклов        10

2. АНАЛИЗ ЭКОНОМИЧЕСКИХ ЦИКЛОВ В МИРЕ И РОССИИ        13

2.1 Анализ мировых экономических циклов        13

2.2 Анализ экономических циклов в России        22

2.3 Возможности применения теории цикличности в формировании экономической политики России        23

ЗАКЛЮЧЕНИЕ        25

СПИСОК ИСПОЛЬЗОВАННЫХ ИСТОЧНИКОВ        27

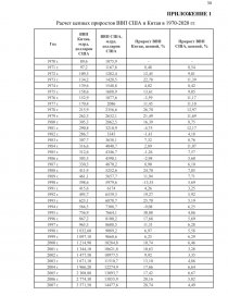
ПРИЛОЖЕНИЕ 1        29

ПРИЛОЖЕНИЕ 2        31

ПРИЛОЖЕНИЕ 3        33


ВВЕДЕНИЕ

В мировой экономической системе, которая в значительной степени является рыночной, Россия в значительной степени зависима от позитивных и негативных процессов мировой экономики. Более глубокое познание этих процессов, приспособление к ним своей экономической политики может позволить полнее использовать преимущества современного мирового разделения труда и будет помогать уберечься от наиболее катастрофических последствий мировых кризисных явлений.

Актуальность выбранной темы исследования состоит в том, что ритмы циклических колебаний в экономике исследовались многими учёными, однако возможности их применения к развитию конкретных государств в научной литературе исследованы недостаточно.

Цель курсовой работы: рассмотреть основные теории цикличности и обосновать возможности их применения к развитию экономики Российской Федерации.

Задачи исследования:

- раскрыть понятие и сущность экономического цикла и их значение для экономической политики        ;

-  изучить классификацию экономических циклов;

- определить методику анализа экономических циклов;

- выполнить анализ мировых экономических циклов на основе статистической информации;

- выполнить анализ экономических циклов в России         на основе данных о ВВП России;

- определить Возможности применения теории цикличности в формировании экономической политики России.

Предмет исследования: теории цикличности и возможности их применения для развития экономики государства.

Объект исследования: экономическое развитие Российской Федерации.

Методы исследования: метод формализации применялся при определении основных понятий исследования, а именно понятия «экономический цикл», «цикличность». Метод классификации использован при определении видов экономических циклов. При написании работы также использовался метод системного анализа в изучении макроэкономических процессов, обуславливающих возникновение цикличности. Метод синтеза использовался для обобщения полученной информации и результатов анализа цикличности в мировой экономике. Метод сравнения применялся в сравнительном анализе цикличности разных стран. Методы статистического анализа являются основными методами исследования.

Структура работы: курсовая работа состоит из введения, двух глав, шести разделов, заключения, списка использованных источников.


1.ТЕОРЕТИЧЕСКИЕ ОСНОВЫ ЭКОНОМИЧЕСКИХ ЦИКЛОВ

1.1 Понятие и сущность экономического цикла и их значение для экономической политики

Экономический цикл является периодически повторяющимся колебанием экономической активности. Синоним экономического цикла - деловой цикл.  Данное понятие используется либо для характеристики деловой активности в определенном государстве или в мире. Цикл состоит из чередующегося роста и падения деловой активности.

...

Скачать:   txt (58.9 Kb)   pdf (509.2 Kb)   docx (328.1 Kb)  
Продолжить читать еще 16 страниц(ы) »
Доступно только на Essays.club