Essays.club - Получите бесплатные рефераты, курсовые работы и научные статьи
Поиск

Финансовый анализ ПАО "Мобильные ТелеСистемы"

Автор:   •  Февраль 18, 2018  •  Курсовая работа  •  9,535 Слов (39 Страниц)  •  1,229 Просмотры

Страница 1 из 39

Заказ №0701

Курсовая работа на тему

"Финансовый анализ ПАО "Мобильные ТелеСистемы" (ПАО "МТС")


Содержание

Введение.........................................................................................................................................3

Глава 1. Проведение финансового анализа графическим способом ПАО "Мобильные ТелеСистемы"................................................................................................................................4

Глава 2. Проведение финансового анализа табличным способом ПАО "Мобильные ТелеСистемы"..............................................................................................................................13

Глава 3. Проведение финансового анализа коэффициентным способом ПАО "Мобильные ТелеСистемы"..............................................................................................................................20

Глава 4. Синтетическая оценка и меры по улучшению финансового состояния предприятия ПАО "Мобильные ТелеСистемы".......................................................................30

Заключение..................................................................................................................................37

Список литературы....................................................................................................................40

Приложения..............................................................................................................................32


Введение

Актуальность исследования. После нескольких лет глобального финансово-экономического кризиса актуальность проведения финансового анализа не только не снизилась, но и даже наоборот - значительно выросла, поскольку от того, в каком именно финансовом состоянии находится предприятие, зависит не только уровень его успеха, а самое элементарное выживание в условиях текущего финансового кризиса.

Именно по этой причине проведению анализа финансового состояния предприятия уделяют достаточно много внимания, причем не только со стороны акционеров предприятий, которые желают знать досконально всю экономическую составляющую своего предприятия, но и со стороны многочисленных инвесторов предприятия, которые планируют осуществлять в нее свои финансовые вложения.

Благодаря тому, что актуальность финансового анализа на данном этапе постоянно растет, на сегодняшний день в мире существует очень много самых различных методик его проведения, при этом развитие методов проведения финансового анализа не прекращается ни на минуту, а если посмотреть на ситуацию в целом, то происходит постоянное усовершенствование такой методики, что в свою очередь позитивно влияет на итоговые результаты такой аналитики.

Цель исследования. Целью исследования является проведение финансового анализа деятельности предприятия на примере ПАО "Мобильные ТелеСистемы" (ПАО "МТС"). Согласно цели определим задачи исследования:

  • провести финансовый анализ графическим способом ПАО "Мобильные ТелеСистемы";
  • провести финансовый анализ табличным способом ПАО "Мобильные ТелеСистемы";
  • провести финансовый анализ коэффициентным способом ПАО "Мобильные ТелеСистемы";
  • дать синтетическую оценку и меры по улучшению финансового состояния предприятия ПАО "Мобильные ТелеСистемы".

Предмет исследования. Предметом исследования является проведение финансового анализа деятельности предприятия.

Объект исследования. Объектом исследования является ПАО "Мобильные ТелеСистемы" (ПАО "МТС"), которое ведет свою деятельность в области связи на базе использования беспроводных технологий.


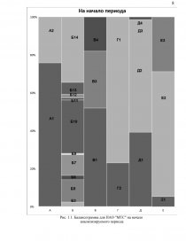
Глава 1. Проведение финансового анализа графическим способом

ПАО "Мобильные ТелеСистемы"

ПАО "Мобильные ТелеСистемы" является ведущей компании в России и странах СНГ по предоставлению услуг фиксированной и мобильной связи, доступа к сети Интернет, кабельного и спутникового ТВ-вещания, мобильных приложений и цифровых сервисов, финансовых сервисов и услуг электронной коммерции, а также конвергентных ИТ-решений в сфере системной интеграции, мониторинга, интернета вещей, обработки данных и облачных вычислений. Предоставляя разнообразные инновационные услуги и решения, компания вносит значимый вклад в финансово-экономический рост и улучшение уровня качества жизни десятков миллионов людей в странах присутствия.

...

Скачать:   txt (147 Kb)   pdf (538.6 Kb)   docx (233.2 Kb)  
Продолжить читать еще 38 страниц(ы) »
Доступно только на Essays.club