Анализ финансового состояния ОАО "Паритетбанк"
Автор: inessa_avramchik • Декабрь 5, 2020 • Реферат • 2,106 Слов (9 Страниц) • 554 Просмотры
АНАЛИЗ ФИНАНСОВОГО СОСТОЯНИЯ ОАО «ПАРИТЕТБАНК»
В отношениях со своими клиентами Банк ориентируется на долгосрочное и взаимовыгодное сотрудничество, создание комфортных условий обслуживания, на минимизацию тарифных планов и индивидуальный подход. Основными факторами, позволяющими поддерживать и развивать взаимовыгодные отношения с клиентами, являются: открытость, прозрачность финансовой информации, взаимное доверие и реальная финансовая поддержка клиентов.
Нормативный капитал – 103 797,9 тыс. руб (по состоянию на 01.01.2020 года).
ОАО "Паритетбанк" является членом Банковской Ассоциации Стран Центральной и Восточной Европы (Banking Association for Central and Eastern Europe/BACEE) на условиях регулярного членства.
Структура акционеров ОАО "Паритетбанк" с долей в уставном фонде банка:
- Республика Беларусь, в лице Государственного комитета по имуществу Республики Беларусь: 99,8344%
- ОАО «Паритетбанк»: 0,1656%
26.08.2019 ОАО «Паритетбанк» получено свидетельство № 65777 о регистрации товарного знака «Paritetbank» в Национальном центре интеллектуальной собственности.
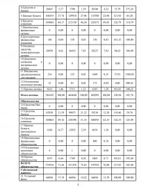
Таблица 3.1 – Анализ динамики и структуры активов и пассивов банка за 2017-2019 гг.
Наименование показателей | Период (годы) | Изменение в структ., п.п. | ||||||
2017 | 2018 | 2019 | 2018/ 2017 | 2019 / 2018 | ||||
тыс. руб. | уд. вес, % | тыс. руб. | уд. вес, % | тыс. руб. | уд. вес, % | |||
Активы |
|
|
|
|
|
|
|
|
1.Денежные средства | 9826 | 2,56 | 25839 | 5,56 | 30252 | 6,28 | 262,97 | 117,08 |
2.Драгоценные металлы и драгоценные камни | 24 | 0,01 | 0 | 0,00 | 0 | 0,00 | 0,00 | 0,00 |
3.Средства в Нац. банке | 34492 | 8,98 | 43829 | 9,43 | 35923 | 7,45 | 127,07 | 81,96 |
4.Средства в банках | 20647 | 5,37 | 7390 | 1,59 | 20340 | 4,22 | 35,79 | 275,24 |
5.Ценные бумаги | 106555 | 27,74 | 129910 | 27,96 | 110788 | 22,98 | 121,92 | 85,28 |
6.Кредиты клиентам | 169693 | 44,17 | 215150 | 46,30 | 238375 | 49,45 | 126,79 | 110,79 |
7.Производные финансовые активы | 0 | 0,00 | 0 | 0,00 | 0 | 0,00 | 0,00 | 0,00 |
8.Долгосрочные финансовые вложения | 148 | 0,04 | 150 | 0,03 | 150 | 0,03 | 101,35 | 100,00 |
9.Основные средства, нематериальные активы | 36958 | 9,62 | 36452 | 7,85 | 38237 | 7,93 | 98,63 | 104,90 |
10.Доходные вложения в материальные активы | 0 | 0,00 | 0 | 0,00 | 0 | 0,00 | 0,00 | 0,00 |
11.Имущество, предназначенное для продажи | 214 | 0,06 | 122 | 0,03 | 1669 | 0,35 | 57,01 | 1368,03 |
12.Отложенные налоговые активы | 12 | 0,00 | 83 | 0,02 | 173 | 0,04 | 0,00 | 208,43 |
13.Прочие активы | 5613 | 1,46 | 5715 | 1,23 | 6185 | 1,28 | 101,82 | 108,22 |
Итого активы | 384182 | 100,00 | 464640 | 100,00 | 482092 | 100,00 | 120,94 | 103,76 |
Обязательства |
|
|
|
|
|
|
|
|
14.Средства Нац. банка | 0 | 0,00 | 0 | 0,00 | 0 | 0,00 | 0,00 | 0,00 |
15.Средства банков | 82938 | 21,59 | 99075 | 21,32 | 59210 | 12,28 | 119,46 | 59,76 |
16.Средства клиентов | 188863 | 49,16 | 238598 | 51,35 | 300593 | 62,35 | 126,33 | 125,98 |
17.Ценные бумаги, выпущенные банком | 1436 | 0,37 | 12035 | 2,59 | 6674 | 1,38 | 0,00 | 0,00 |
18.Производные финансовые обязательства | 0 | 0,00 | 0 | 0,00 | 860 | 0,18 | 0,00 | 0,00 |
19.Отложенные налоговые обязательства | 4 | 0,00 | 1 | 0,00 | 0 | 0,00 | 0,00 | 0,00 |
20.Прочие обязательства | 1675 | 0,44 | 1769 | 0,38 | 3405 | 0,71 | 105,61 | 192,48 |
ВСЕГО обязательства | 274916 | 71,56 | 351478 | 75,65 | 370742 | 76,90 | 127,85 | 105,48 |
Собственный капитал |
|
|
|
|
|
|
|
|
21.Уставный фонд | 66056 | 17,19 | 66056 | 14,22 | 66056 | 13,70 | 100,00 | 100,00 |
22.Эмиссионный доход | 0 | 0,00 | 0 | 0,00 | 0 | 0,00 | 0,00 | 0,00 |
23. Резервный фонд | 3584 | 0,93 | 4017 | 0,86 | 4227 | 0,88 | 112,08 | 105,23 |
24. Фонды переоценки статей баланса | 15360 | 4,00 | 14994 | 3,23 | 12456 | 2,58 | 97,62 | 83,07 |
25. Накопленная прибыль | 24266 | 6,32 | 28095 | 6,05 | 28611 | 5,93 | 115,78 | 101,84 |
ВСЕГО собств. капитал | 109266 | 28,44 | 113162 | 24,35 | 111350 | 23,10 | 103,57 | 98,40 |
ИТОГО обязательства и капитал | 384182 | 100,00 | 464640 | 100,00 | 482092 | 100,00 | 120,94 | 103,76 |
Примечание – Источник: Бухгалтерский баланс ОАО «Паритетбанк» [4,5,6]
...