Essays.club - Получите бесплатные рефераты, курсовые работы и научные статьи
Поиск

Расчет характеристик насоса

Автор:   •  Сентябрь 18, 2018  •  Реферат  •  717 Слов (3 Страниц)  •  660 Просмотры

Страница 1 из 3

[pic 1]

Местные гидравлические сопротивления:

Поворот трубы                -        ξпов=1,1

Вход в трубу                        -        ξвх=0,5

Выход из трубы                -        ξвых=1,0

Вязкость жидкости                -        ν=1,01·10-6 м2

Плотность жидкости        -        ρ=998 кг/м3

Таблица 1

Q, л/с

0,0

1,0

2,0

3,0

4,0

5,0

6,0

7,0

8,0

Н, м

13,0

14,0

14,3

14,0

13,1

11,8

10,0

7,5

4,0

Таблица 2

Hг

lв

lн

dв

dн

t

Δ

n1

D1

м

мм

°С

мм

об/мин

мм

5

4

12

34

70

40

20

0,30

2400

190


Решение:

  1. Определение рабочей точки насоса.
  1. Определение числа Рейнольдса.

[pic 2]        

[pic 3]

[pic 4]

[pic 5]

[pic 6]

[pic 7]

[pic 8]

[pic 9]

[pic 10]

[pic 11]

[pic 12]

[pic 13]

[pic 14]

[pic 15]

[pic 16]

[pic 17]

[pic 18]

[pic 19]

[pic 20]

  1. Определение коэффициентов потерь

[pic 21]

[pic 22]

                               

[pic 23]

[pic 24]


Аналогично:

[pic 25]        [pic 26]

[pic 27]        [pic 28]

[pic 29]        [pic 30]

[pic 31]        [pic 32]

[pic 33]        [pic 34]

[pic 35]        [pic 36]

[pic 37]        [pic 38]

  1. Определение потерь напора

[pic 39]

[pic 40]

[pic 41]        Аналогично:

[pic 42]                [pic 43]                [pic 44]

[pic 45]        [pic 46]        [pic 47]

[pic 48]

  1. Определение потребного напора

[pic 49]


Результаты вычислений сведем в таблицу 3:

Таблица 3

Qi л/с

0

1,0

2,0

3,0

4,0

5,0

6,0

7,0

8,0

Reв

0

1,8·104

3,6·104

5,4·104

7,2·104

9,0·104

10,8·104

12,6·104

14,4·104

Reн

0

3,15·104

6,3·104

9,45·104

12,6·104

15,8·104

18,9·104

22,1·104

25,2·104

λв

0

0,0312

0,0298

0,0293

0,0290

0,0288

0,0287

0,0286

0,0286

λн

0

0,0345

0,0335

0,0331

0,0329

0,0328

0,0328

0,0327

0,0327

Σhi

0

0,84

3,37

7,59

13,48

21,06

30,33

41,28

53,92

Hпотр

4

4,84

7,37

11,59

17,48

25,06

34,33

45,28

57,92

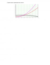
Строим график зависимости потребного напора от расхода и характеристику насоса:

[pic 50]

Таким образом, рабочая точка насоса:

Qр=3,4 л/с

Нр=14 м

  1. Расчет новой частоты вращения.
  1. Положение новой рабочей точки

[pic 51]

...

Скачать:   txt (5.8 Kb)   pdf (1.4 Mb)   docx (786 Kb)  
Продолжить читать еще 2 страниц(ы) »
Доступно только на Essays.club