Essays.club - Получите бесплатные рефераты, курсовые работы и научные статьи
Поиск

Проектирование интеллектуальной электрической сети

Автор:   •  Январь 24, 2021  •  Курсовая работа  •  3,895 Слов (16 Страниц)  •  888 Просмотры

Страница 1 из 16

МИНИСТЕРСТВО НАУКИ И ВЫСШЕГО ОБРАЗОВАНИЯ

РОССИЙСКОЙ ФЕДЕРАЦИИ

Федеральное государственное автономное образовательное учреждение

высшего образования

«Южно-Уральский государственный университет»

(национальный исследовательский университет)

Политехнический институт

Факультет «Энергетический»

Кафедра «Электрические станции, сети и системы электроснабжения»

ПРОЕКТИРОВАНИЕ ИНТЕЛЛЕКТУАЛЬНОЙ ЭЛЕКТРИЧЕСКОЙ СЕТИ

ПОЯСНИТЕЛЬНАЯ ЗАПИСКА

К КУРСОВОМУ ПРОЕКТУ

ЮУрГУ–13.04.02.2020.181.ПЗ КП

Консультант,

(должность)

_______________/И.И. Иванов

«___»_______________2019г.

Консультант,

(должность)

_______________/И.И. Иванов

«___»_______________2019г.

Консультант,

(должность)

_______________/И.И. Иванов

«___»_______________2019г.

Руководитель проекта,

доцент, к.т.н.

_______________/В.В. Тарасенко

«___»_______________2020г.

Автор работы

студент группы П-181

_______________/Р.Б. Фатихов

«___»_______________2020г.

Нормоконтролер,

доцент, к.т.н.

_______________/В.В. Тарасенко

«___»_______________2020г.

Министерство образования и науки Российской Федерации

Федеральное государственное автономное образовательное учреждение

высшего образования

«Южно-Уральский государственный университет»

(национальный исследовательский университет)

Политехнический институт

Кафедра «Электрические станции, сети и системы электроснабжения»

ЗАДАНИЕ

на курсовой проект по дисциплине

«Интеллектуальные электроэнергетические системы»

(вариант 2323)

Студент Фатихов Радмир Булатович

Факультет Энергетический    курс 1    группа П-181    

 «Проектирование интеллектуальной электрической сети»

        Дана часть распределительной электрической сети 10 кВ рис. 1.

[pic 1]

Рисунок 1 – Рабочая схема распределительной сети 10 кВ

С шин 10 кВ подстанции «Таёжная» получают питание три фидера: ф1, ф2 и ф3. Нагрузки и параметры каждого фидера указаны в таблицах 2–7. Топология схемы обозначена в виде узлов начала (УН) и узлов конца (УК) каждой ветви. Каждому узлу присвоен номер и название.


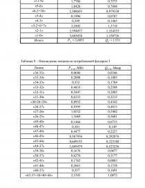
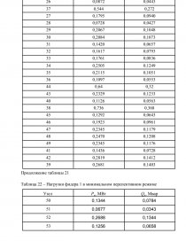
   Таблица 1 – Параметры схемы фидера 2

УН

УК

Тип кабеля

Lучастка, м

Таёж-я

0

1

РП-72-I

2xАСБ 3*240-10

1115

РП-72-I

1

2

РП-4-I

(АСБ3*185-10)||(АСБ3*240-10)

535

РП-4-I

2

8

2445C-I

ААШв 3*150-10

656

РП-4-I

2

7

1297-I

2xАСБ 3*150-10

207

РП-4-I

2

6

1320-I

ААШв 3*240-10

350

РП-4-I

2

3

ЧТТУ-5

АСБ 3*185-6

2100

2445С-I

8

10

1171-I

ААШвУ 3*150-10

283

2445С-I

8

9

2446С-I

ААШВ 3*150-10

245

2446С-I

9

11

2447С-I

ААБ 3*240-10

209

2447С-I

11

12

2448С-I

АСБ 3*120-10

222

2447С-I

11

13

1412

ААБ 3*150-6

391

1412

13

22

1451-I

АСБ  3*150-6

380

1412

13

14

1413

АСБ 3*240-6

163

1451-I

22

23

1450-I

ААШвУ 3*150-10

325

1450-I

23

24

1432-I

ААШвУ 3*150-10

171

1413

14

15

1156

СБ 3*150-6

231

1156

15

16

1162

ААШвУ 3*150-10

20

1156

15

18

1043-I

АСБ 3*120-6

212

1162

16

17

1169

ААШв 3*150-10

266

1043-I

18

21

1045-I

ААШв 3*150-10

320

1043-I

18

19

1473

(АСБ3*240-6),(А-50),(ААБ3*150-10)

83/230/449

1473

19

20

1472-II

АСБ 3*150-10

318

ЧТТУ-5

3

4

1462

АСБ 3*240-6

115

1462

4

5

1029

АСБ 3*150-6

258

...

Скачать:   txt (68 Kb)   pdf (764.4 Kb)   docx (959.6 Kb)  
Продолжить читать еще 15 страниц(ы) »
Доступно только на Essays.club