Essays.club - Получите бесплатные рефераты, курсовые работы и научные статьи
Поиск

Крашение пигментами

Автор:   •  Июль 12, 2019  •  Курсовая работа  •  11,913 Слов (48 Страниц)  •  392 Просмотры

Страница 1 из 48

Содержание

         Реферат

         Введение

   1    Литературный обзор

     1.1    Пигментное крашение и его место в мировой практике

     1.2    Применение пленкообразующих препаратов нового

              поколения в  пигментном  крашении

1.3    Теория и практика крашения пигментами

1.4    Перспективная технология крашения пигментами, предлагаемая      

         фирмой Ciba

   2    Цели и задачи исследования

   3    Методическая часть

3.1    Характеристика объектов исследования

3.1.1 Текстильные материалы

3.1.2 Текстильно-вспомогательные вещества, используемые в работе

3.2    Методы исследования

3.2.1 Методика определения интенсивности окрасок

3.2.2 Оценка устойчивости окрасок к физико-химическим воздействиям

3.2.3 Методика определения жесткости окрашенного образца

    4   Экспериментальная часть

 4.1   Оценка эффективности использования отечественных  

         пленкообразующих полимеров в качестве связующих для пигментного    

         крашения

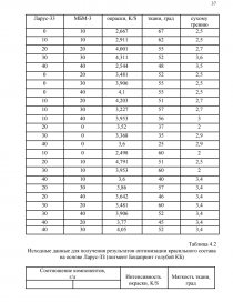
 4.2  Оценка влияния различных по природе добавок на качество пигментного

        крашения

 4.3   Отработка технологии пигментного крашения на основе отечественных связующих систем

 4.4   Производственная проверка разработанной технологии.

         Выводы

         Список используемой литературы

Аннотация

Научная работа содержит:

  рукописного текста    страниц

  рисунков

  таблиц

  литературных источников

Ключевые слова:

 

Введение

          Основные задачи, стоящие перед текстильной промышленностью России, в настоящее время заключаются в улучшении качества выпускаемой продукции с целью повышения ее конкурентоспособности  при одновременном снижении материальных и энергетических затрат на производство. Решение этих задач невозможно без совершенствования традиционных технологических процессов и целенаправленной разработки и внедрения принципиально новой технологии отделки тканей. При этом большое внимание должно уделяться:

  • экономии химических препаратов и красителей;
  • охране окружающей среды;
  • технике безопасности на производстве.

          В текстильной промышленности основное место занимает отделочное производство, которое состоит из различных технологических операций, одной из которых является процесс колорирования тканей методом крашения. С помощью крашения на тканях можно получить всевозможные окраски и другие модные эффекты. Для достижения поставленных целей используются различные композиции, включающие в себя всевозможные составляющие:

  • полимерные связующие препараты;
  • текстильно-вспомогательные вещества;
  • красители.

          В качестве красителей, в настоящее время, используют пигменты, поскольку именно они получили широкое распространение благодаря своим преимуществам перед другими классами красителей, не только в России, но и за рубежом.

          Пигментное крашение имеет огромное значение, поэтому ему посвящено множество исследований, связанных с разработками и получением различных препаратов, необходимых для достижения поставленных целей. При этом важно, чтобы выпущенные препараты были:

  • экономичны;
  • экологичны;
  • обеспечивали получение хороших результатов.

1. Литературный обзор

1.1 Пигментное крашение и его место в мировой практике

          Во всем мире ежегодно производится огромное количество м² окрашенных тканей, причем значительную долю из них производят по способу пигментного крашения.

          Данный способ крашения в ряду других технологий в мировой текстильной промышленности с каждым годом наращивает свою приоритетную значимость, как наиболее современный в экологическом отношении и экономически выгодный. Совершенно очевидно, что пигментное крашение завоевало высокую долю в общем производстве только благодаря своим преимуществам.

...

Скачать:   txt (132.4 Kb)   pdf (1 Mb)   docx (353.2 Kb)  
Продолжить читать еще 47 страниц(ы) »
Доступно только на Essays.club