Essays.club - Получите бесплатные рефераты, курсовые работы и научные статьи
Поиск

Гидродинамические исследования газовых скважин при неустановившихся режимах фильтрации

Автор:   •  Декабрь 1, 2022  •  Практическая работа  •  2,092 Слов (9 Страниц)  •  367 Просмотры

Страница 1 из 9

Министерство науки и высшего образования Российской Федерации

Федеральное государственное бюджетное образовательное учреждение

высшего образования

«Уфимский государственный нефтяной технический университет»

Кафедра «Разработка и эксплуатация нефтяных и газонефтяных месторождений»

ПРАКТИЧЕСКОЕ ЗАНЯТИЕ №6

«Гидродинамические исследования газовых скважин

при неустановившихся режимах фильтрации»

Вариант 9

Выполнил

студент гр. БГР-19-02

А.А. Кобелян

Проверил

преподаватель

С.Б. Харина

Уфа 2022

6.1 Интерпретация КВД газовых скважин по методу касательной

Газовая скважина была выведена на режим эксплуатации с рабочим дебитом Q. Время работы составило 730 минут. После этого она была остановлена на исследование методом КВД. Время регистрации кривой восстановления давления составило 8 минут. Общая вскрытая толщина пласта h. Радиус контура питания Rк, радиус скважины rс. Свойства газа и пласта: динамическая вязкость газа μ, температура пласта Tпл, пористость породы m, коэффициент фильтрационных сопротивлений b.

Таблица 1 – Составы пластового газа

Компоненты

природного газа

Мольная доля компонентов газа ηi, доли единицы

Состав газа № 1

Состав газа № 2

Состав газа № 3

CH4

0,970

0,950

0,920

C2 H6

0,010

0,015

0,015

C3 H8

0,005

0,010

0,010

n C4 H10

0,004

0,005

0,015

i C4 H10

0,001

0,004

0,007

n C5 H12

0,010

0,016

0,033

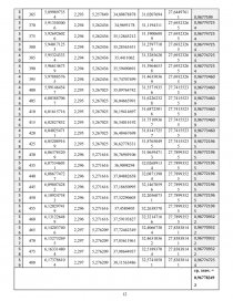
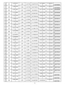
Результаты исследования скважины со снятием кривой восстановления давления на забое приведены в таблице 2.

Таблица 2 – Результаты исследования скважины со снятием КВД

Время t,

c

Давление Pз,

MПa

Время t,

c

Давление Pз,

MПa

Время t,

c

Давление Pз,

MПa

0,1

2,155

160

2,281

325

2,291

5

2,239

165

2,281

330

2,291

10

2,25

170

2,282

335

2,292

15

2,254

175

2,282

340

2,292

20

2,257

180

2,282

345

2,292

25

2,26

185

2,282

350

2,293

30

2,262

195

2,283

355

2,293

35

2,263

200

2,284

360

2,293

40

2,264

205

2,284

365

2,293

45

2,265

210

2,284

370

2,294

50

2,265

215

2,285

375

2,294

55

2,266

220

2,285

380

2,294

60

2,267

225

2,285

385

2,294

65

2,267

230

2,286

390

2,294

70

2,269

235

2,286

395

2,294

75

2,271

240

2,286

400

2,295

80

2,272

245

2,287

405

2,295

85

2,273

250

2,287

410

2,295

90

2,274

255

2,287

415

2,295

95

2,274

260

2,288

420

2,295

100

2,275

265

2,288

425

2,295

105

2,276

270

2,288

430

2,296

110

2,276

275

2,288

435

2,296

115

2,277

280

2,289

440

2,296

120

2,277

285

2,289

445

2,296

125

2,278

290

2,29

450

2,296

130

2,278

295

2,29

455

2,296

135

2,279

300

2,29

460

2,296

140

2,279

305

2,29

465

2,297

145

2,279

310

2,29

470

2,297

150

2,28

315

2,291

475

2,297

155

2,281

320

2,291

480

2,297*

* Максимальное давление КВД использовать как Рпл.

...

Скачать:   txt (40.2 Kb)   pdf (404.2 Kb)   docx (895.2 Kb)  
Продолжить читать еще 8 страниц(ы) »
Доступно только на Essays.club