Essays.club - Получите бесплатные рефераты, курсовые работы и научные статьи
Поиск

Определение расчетных гидрологических характеристик

Автор:   •  Февраль 27, 2021  •  Курсовая работа  •  1,591 Слов (7 Страниц)  •  467 Просмотры

Страница 1 из 7

Федеральное государственное автономное

образовательное учреждение

высшего образования

«СИБИРСКИЙ ФЕДЕРАЛЬНЫЙ УНИВЕРСИТЕТ»

Саяно-Шушенский филиал

                                                                                          Кафедра ГТС

КУРСОВАЯ РАБОТА

На тему:

«Определение расчетных гидрологических характеристик»

Преподаватель                                            ____________ К.Ю. Мосин

                                                                                            подпись, дата

Студент      ГЭ 16-01Б                               ____________ А.О. Салыков

                       номер группы     зачетной книжки          подпись, дата

р.п. Черемушки

2017

1 ЗАДАНИЕ И ИСХОДНЫЕ ДАННЫЕ

  1. Для выполнения курсовой работы выдан исходный гидрологический ряд за 50 лет наблюдений (Приложение 2 к заданию). Каждый год гидрологического ряда представлен в виде средних расходов за каждый месяц.
  2. По исходному ряду построить гидрограф реки.
  3. Вычислить и построить кривые обеспеченности среднемноголетних расходов реки:

- выбрать по исходному ряду среднегодовые расходы;

- построить фактическую кривую обеспеченности по среднегодовым расходам;

- для полученного ряда определить параметры кривой обеспеченности Qср, коэффициент вариации Cv, коэффициент асимметрии Cs;

- вычислить среднюю квадратическую ошибку определения Cv, Cs;

- в случае превышения средней квадратической ошибки определения Cs допустимого значения для данной продолжительности ряда и вычисленного Cv, назначить Cs= 2 Cv;

- вычислить и построить теоретическую кривую обеспеченности среднемноголетних расходов Р1%.

  1. Вычислить и построить кривые обеспеченности средних максимальных расходов реки:

- выбрать по исходному ряду наибольшие среднемесячные расходы;

- для полученного ряда определить параметры кривой обеспеченности Qср, коэффициент вариации Cv, коэффициент асимметрии Cs;

- вычислить среднюю квадратическую ошибку определения Cv, Cs;

- в случае превышения средней квадратической ошибки определения Cs допустимого значения для данной продолжительности ряда и вычисленного Cv, назначить Cs= 2 Cv;

- вычислить и построить теоретические кривые обеспеченности средних максимальных расходов Р0,5%, Р0,1%, Р0,01%;

- при вычислении средних максимальных расходов обеспеченности Р0,01% определить и применить гарантийную поправку ∆Qmax (согласно требованиям СНиП 33-01-2003), кривую обеспеченности построить в полулогарифмическом масштабе (на клетчатке Хазена).

  1. Вычислить и построить кривые обеспеченности средних минимальных расходов реки:

- выбрать по исходному ряду наименьшие среднемесячные расходы;

- построить фактическую кривую обеспеченности по среднеминимальным расходам;

- для полученного ряда определить параметры кривой обеспеченности Qср, коэффициент вариации Cv, коэффициент асимметрии Cs;

- вычислить среднюю квадратическую ошибку определения Cv, Cs;

- в случае превышения средней квадратической ошибки определения Cs допустимого значения для данной продолжительности ряда и вычисленного Cv, назначить Cs= 2 Cv;

- вычислить и построить теоретическую кривую обеспеченности средних минимальных расходов Р1%.

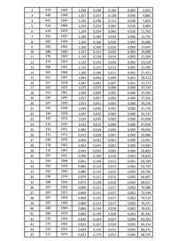
В Таблице 1 представлен исходный гидрологический ряд за 50 лет наблюдений для реки Олекма. Каждый год гидрологического ряда представлен в виде средних расходов за каждый месяц.

Таблица 1 - Гидрологический ряд р. Олекма

...

Скачать:   txt (35.5 Kb)   pdf (674.4 Kb)   docx (750.7 Kb)  
Продолжить читать еще 6 страниц(ы) »
Доступно только на Essays.club